Hugging Face
Models
Datasets
Spaces
Buckets
new
Docs
Enterprise
Pricing
Log In
Sign Up
TatarNLPWorld
/
Tatar2Vec
like
0
Follow
Tatar NLP Community / Natural Language Processing for Tatar Language
1
Tatar
License:
mit
Model card
Files
Files and versions
xet
Community
main
Tatar2Vec
9.86 GB
Ctrl+K
Ctrl+K
1 contributor
History:
50 commits
ArabovMK
Upload 2 files
c5bc622
verified
about 1 month ago
fasttext
Upload 4 files
about 1 month ago
word2vec
Upload 2 files
about 1 month ago
.gitattributes
Safe
1.94 kB
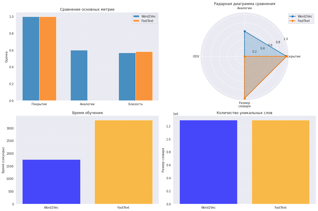
Upload test_results/comparison_ru.png with huggingface_hub
about 1 month ago
1.png
64.8 kB
Upload 2 files
about 1 month ago
2анг.png
60.2 kB
Upload 2 files
about 1 month ago
README.md
Safe
6.06 kB
Create README.md
about 1 month ago
model_comparison_report.md
Safe
13.5 kB
Update model_comparison_report.md
about 1 month ago
model_comparison_results.json
Safe
11.8 kB
Create model_comparison_results.json
about 1 month ago