β¨ DeepCaptcha-Conv-Transformer: Sequential Vision for OCR
Convolutional Transformer Base
π Live Demo:
π Try the Model in Your Browser
Advanced sequence recognition using a Convolutional Transformer Encoder with Connectionist Temporal Classification (CTC) loss.
π Model Details
- Task: Alphanumeric Captcha Recognition
- Input: Images
- Output: String sequences (Length 1β8 characters)
- Vocabulary: Alphanumeric (
a-z,A-Z,0-9) - Architecture: Convolutional Transformer Encoder (CNN + Transformer Encoder)
π Performance Metrics
This project features four models exploring the trade-offs between recurrent (LSTM) and attention-based (Transformer) architectures, as well as the effects of fine-tuning on capchas generated by the Python Captcha Library.
| Metric | CRNN (Base) | CRNN (Finetuned) | Conv-Transformer (Base) | Conv-Transformer (Finetuned) |
|---|---|---|---|---|
| Architecture | CRNN | CRNN | Convolutional Transformer | Convolutional Transformer |
| Training Data | hammer888/captcha-data | hammer888/captcha-data Python Captcha Library |
hammer888/captcha-data | hammer888/captcha-data Python Captcha Library |
| # Parameters | 3,570,943 | 3,570,943 | 12,279,551 | 12,279,551 |
| Model Size | 14.3 MB | 14.3 MB | 51.7 MB | 51.7 MB |
| Sequence Accuracy (hammer888/captcha-data) |
96.81% | 92.98% | 97.38% | 95.36% |
| Character Error Rate (CER) (hammer888/captcha-data) |
0.70% | 1.59% | 0.57% | 1.03% |
| Sequence Accuracy (Python Captcha Library) |
9.65% | 86.20% | 11.59% | 88.42% |
| Character Error Rate (CER) (Python Captcha Library) |
43.98% | 2.53% | 38.63% | 2.08% |
| Throughput (img/sec) | 447.26 | 447.26 | 733.00 | 733.00 |
| Compute Hardware | NVIDIA RTX A6000 | NVIDIA RTX A6000 | NVIDIA RTX A6000 | NVIDIA RTX A6000 |
| Link | Graf-J/captcha-crnn-base | Graf-J/captcha-crnn-finetuned | Graf-J/captcha-conv-transformer-base | Graf-J/captcha-conv-transformer-finetuned |
π§ͺ Try It With Sample Images
The following are images sampled of the test set of the hammer888/captcha-data dataset. Click any image below to download it and test the model locally.
π Quick Start (Pipeline - Recommended)
The easiest way to perform inference is using the custom Hugging Face pipeline.
from transformers import pipeline
from PIL import Image
# Initialize the pipeline
pipe = pipeline(
task="captcha-recognition",
model="Graf-J/captcha-conv-transformer-base",
trust_remote_code=True
)
# Load and predict
img = Image.open("path/to/image.png")
result = pipe(img)
print(f"Decoded Text: {result['prediction']}")
π¬ Advanced Usage (Raw Logits & Custom Decoding)
Use this method if you need access to the raw logits or internal hidden states.
import torch
from PIL import Image
from transformers import AutoModel, AutoProcessor
# Load Model & Custom Processor
repo_id = "Graf-J/captcha-conv-transformer-base"
processor = AutoProcessor.from_pretrained(repo_id, trust_remote_code=True)
model = AutoModel.from_pretrained(repo_id, trust_remote_code=True)
model.eval()
# Load and process image
img = Image.open("path/to/image.png")
inputs = processor(img)
# Inference
with torch.no_grad():
outputs = model(inputs["pixel_values"])
logits = outputs.logits
# Decode the prediction via CTC logic
prediction = processor.batch_decode(logits)[0]
print(f"Prediction: '{prediction}'")
βοΈ Training
The base model was trained on a refined version of the hammer888/captcha-data (1,365,874 images). This dataset underwent a specialized cleaning process where multiple pre-trained models were used to identify and prune inconsistent data. Specifically, images where models were "confidently incorrect" regarding casing (upper/lower-case errors) were removed to ensure high-fidelity ground truth for the final training run.
Parameters
- Optimizer: Adam (lr=0.0005)
- Scheduler: ReduceLROnPlateau (factor=0.5, patience=3)
- Batch Size: 128
- Loss Function: CTCLoss
- Augmentations: ElasticTransform, Random Rotation, Grayscale Resize
π Error Analysis
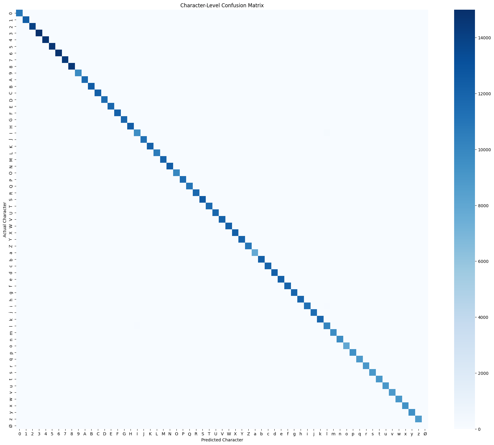
The following confusion matrices illustrate the character-level performance across the alphanumeric vocabulary for the test dataset of the images generated via Python.
Full Confusion Matrix
Misclassification Deep Dive
This matrix highlights only the misclassification patterns, stripping away correct predictions to visualize which character pairs (such as '0' vs 'O' or '1' vs 'l') the model most frequently confuses. While the dataset underwent a specialized cleaning process to minimize noisy labels, the confusion matrix reveals a residual pattern of misclassifications between visually similar upper and lowercase characters.
βοΈ License & Citation
This project is licensed under the MIT License. If you use this model in your research, portfolio, or applications, please attribute the author.
- Downloads last month
- 116































