Generating Human-level Text with Contrastive Search in Transformers πŸ€—

Published November 8, 2022
Update on GitHub

Open In Colab

1. Introduction:

Natural language generation (i.e. text generation) is one of the core tasks in natural language processing (NLP). In this blog, we introduce the current state-of-the-art decoding method, Contrastive Search, for neural text generation. Contrastive search is originally proposed in "A Contrastive Framework for Neural Text Generation" [1] ([Paper][Official Implementation]) at NeurIPS 2022. Moreover, in this follow-up work, "Contrastive Search Is What You Need For Neural Text Generation" [2] ([Paper] [Official Implementation]), the authors further demonstrate that contrastive search can generate human-level text using off-the-shelf language models across 16 languages.

[Remark] For users who are not familiar with text generation, please refer more details to this blog post.


2. Hugging Face πŸ€— Demo of Contrastive Search:

Contrastive Search is now available on πŸ€— transformers, both on PyTorch and TensorFlow. You can interact with the examples shown in this blog post using your framework of choice in this Colab notebook, which is linked at the top. We have also built this awesome demo which directly compares contrastive search with other popular decoding methods (e.g. beam search, top-k sampling [3], and nucleus sampling [4]).


3. Environment Installation:

Before running the experiments in the following sections, please install the update-to-date version of transformers as

pip install torch
pip install "transformers==4.24.0"

4. Problems of Existing Decoding Methods:

Decoding methods can be divided into two categories: (i) deterministic methods and (ii) stochastic methods. Let's discuss both!

4.1. Deterministic Methods:

Deterministic methods, e.g. greedy search and beam search, generate text by selecting the text continuation with the highest likelihood measured by the language model. However, as widely discussed in previous studies [3][4], deterministic methods often lead to the problem of model degeneration, i.e., the generated text is unnatural and contains undesirable repetitions.

Below, let's see an example of generated text from greedy search using GPT-2 model.

from transformers import AutoTokenizer, GPT2LMHeadModel

tokenizer = AutoTokenizer.from_pretrained('gpt2-large')
input_ids = tokenizer('DeepMind Company is', return_tensors='pt').input_ids
model = GPT2LMHeadModel.from_pretrained('gpt2-large')

output = model.generate(input_ids, max_length=128)
print("Output:\n" + 100 * '-')
print(tokenizer.decode(output[0], skip_special_tokens=True))
print("" + 100 * '-')
Model Output:
Output:
----------------------------------------------------------------------------------------------------
DeepMind Company is a leading AI research company, with a focus on deep learning and deep
learning-based systems.

The company's research is focused on the development of deep learning-based systems that
can learn from large amounts of data, and that can be used to solve real-world problems.

DeepMind's research is also used by the UK government to develop new technologies for the
UK's National Health Service.

DeepMind's research is also used by the UK government to develop new technologies for the
UK's National Health Service.

DeepMind's research is also used by the UK government to develop new technologies
----------------------------------------------------------------------------------------------------

[Remark] From the result generated by greedy search, we can see obvious pattern of repetitions.

4.2. Stochastic Methods:

To address the issues posed by deterministic methods, stochastic methods generate text by introducing randomness during the decoding process. Two widely-used stochastic methods are (i) top-k sampling [3] and (ii) nucleus sampling (also called top-p sampling) [4].

Below, we illustrate an example of generated text by nucleus sampling (p=0.95) using the GPT-2 model.

import torch
from transformers import AutoTokenizer, GPT2LMHeadModel

tokenizer = AutoTokenizer.from_pretrained('gpt2-large')
input_ids = tokenizer('DeepMind Company is', return_tensors='pt').input_ids
model = GPT2LMHeadModel.from_pretrained('gpt2-large')

torch.manual_seed(0.)
output = model.generate(input_ids, do_sample=True, max_length=128, top_p=0.95, top_k=0)
print("Output:\n" + 100 * '-')
print(tokenizer.decode(output[0], skip_special_tokens=True))
print("" + 100 * '-')
Model Output:
Output:
----------------------------------------------------------------------------------------------------
DeepMind Company is a leading provider of AI-based research, development, and delivery of
AI solutions for security, infrastructure, machine learning, communications, and so on."

'AI is not journalism'

Worse still was the message its researchers hoped would reach the world's media β€” that it
was not really research, but rather a get-rich-quick scheme to profit from living forces'
ignorance.

"The thing is, we know that people don't consciously assess the value of the others'
information. They understand they will get the same on their own."

One example? Given the details of today
----------------------------------------------------------------------------------------------------

[Remark] While nucleus sampling can generate text free of repetitions, the semantic coherence of the generated text is not well-maintained. For instance, the generated phrase 'AI is not journalism' is incoherent with respect to the given prefix, i.e. 'DeepMind Company'.

We note that this semantic inconsistency problem can partially be remedied by lowering the temperature. However, reducing the temperature brings nucleus sampling closer to greedy search, which can be seen as a trade-off between greedy search and nucleus sampling. Generally, it is challenging to find a prompt and model-independent temperature that avoids both the pitfalls of greedy search and nucleus sampling.


5. Contrastive Search:

In this section, we introduce a new decoding method, Contrastive Search, in details.

5.1. Decoding Objective:

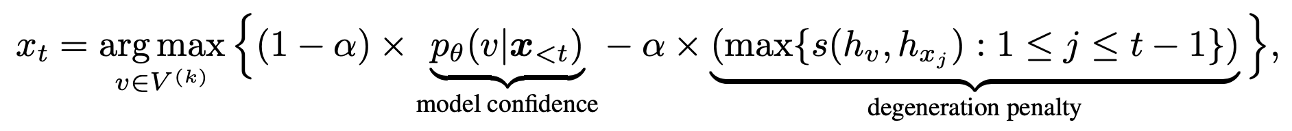
Given the prefix text x<tx_{< t}, the selection of the output token xtx_{t} follows

where V(k)V^{(k)} is the set of top-k predictions from the language model's probability distribution pΞΈ(v∣x<t)p_{\theta}(v|x_{< t}). The first term, i.e. model confidence, is the probability of the candidate vv predicted by the language model. The second term, degeneration penalty, measures how discriminative of vv with respect to the previous context x<t x_{< t} and the function s(β‹…,β‹…)s(\cdot, \cdot) computes the cosine similarity between the token representations. More specifically, the degeneration penalty is defined as the maximum cosine similarity between the token representation of vv, i.e. hvh_{v}, and that of all tokens in the context x<tx_{< t}. Here, the candidate representation hvh_{v} is computed by the language model given the concatenation of x<tx_{< t} and vv. Intuitively, a larger degeneration penalty of vv means it is more similar (in the representation space) to the context, therefore more likely leading to the problem of model degeneration. The hyperparameter Ξ±\alpha regulates the importance of these two components. When Ξ±=0\alpha=0, contrastive search degenerates to the vanilla greedy search.

[Remark] When generating output, contrastive search jointly considers (i) the probability predicted by the language model to maintain the semantic coherence between the generated text and the prefix text; and (ii) the similarity with respect to the previous context to avoid model degeneration.

5.2. Generating Text with Contrastive Search:

Below, we use the same prefix text (i.e. "DeepMind Company is") as in Section 4.1 and 4.2, and generate the text with contrastive search (k=4 and Ξ±=0.6\alpha=0.6). To fully demonstrate the superior capability of contrastive search, we let the language model generate a long document with 512 tokens as

from transformers import GPT2Tokenizer, GPT2LMHeadModel

model_name = 'gpt2-large'
tokenizer = GPT2Tokenizer.from_pretrained(model_name)
model = GPT2LMHeadModel.from_pretrained(model_name, pad_token_id=tokenizer.eos_token_id)
model.eval()

# prepare the prefix
prefix_text = r'DeepMind Company is'
input_ids = tokenizer(prefix_text, return_tensors='pt').input_ids

# generate the result with contrastive search
output = model.generate(input_ids, penalty_alpha=0.6, top_k=4, max_length=512)
print("Output:\n" + 100 * '-')
print(tokenizer.decode(output[0], skip_special_tokens=True))
print("" + 100 * '-')

The arguments are as follows:

  • --top_k: The hyperparameter kk in contrastive search.
  • --penalty_alpha: The hyperparameter Ξ±\alpha in contrastive search.
Model Output:
Output:
----------------------------------------------------------------------------------------------------
DeepMind Company is a leader in artificial intelligence (AI). We have a long history of working
with companies such as Google, Facebook, Amazon, and Microsoft to build products that improve
people's lives, and today we are excited to announce that DeepMind's AlphaGo program has won the
game of Go, becoming the first program to defeat a professional Go player.

The victory is a testament to the power of deep learning, and to the incredible work of our
research team, which has been at the forefront of AI research for the past five years. AlphaGo
is one of the most advanced Go programs ever created, and its performance is an important step
towards the goal of human-level AI.

"This is the culmination of a decade of hard work," said Andy Ng, co-founder and CTO of DeepMind.
"We are thrilled to have achieved this milestone and look forward to continuing to develop AI that
can be used in a wide range of applications and to help people live better lives."

DeepMind's work on Go began in 2010, when it began to train a neural network to play Go using
millions of games played by top Go players around the world. Since then, the team has refined the
algorithm, adding more and more layers of reinforcement learning to make it better at recognizing
patterns and making decisions based on those patterns. In the past year and a half, the team has
made significant progress in the game, winning a record-tying 13 games in a row to move into the
top four of the world rankings.

"The game of Go is a complex game in which players have to be very careful not to overextend their
territory, and this is something that we have been able to improve over and over again," said
Dr. Demis Hassabis, co-founder and Chief Scientific Officer of DeepMind. "We are very proud of our
team's work, and we hope that it will inspire others to take the next step in their research and
apply the same techniques to other problems."

In addition to the win in Go, DeepMind has also developed an AI system that can learn to play a
number of different games, including poker, Go, and chess. This AI system, called Tarsier, was
developed in partnership with Carnegie Mellon University and the University of California,
Berkeley, and is being used to teach computer vision and machine learning to identify objects in
images and recognize speech in natural language. Tarsier has been trained to play the game of Go
and other games on a
----------------------------------------------------------------------------------------------------

[Remark] We see that the generated text is of exceptionally high quality. The entire document is grammatically fluent as well as semantically coherent. Meanwhile, the generated text also well maintains its factually correctness. For instance, in the first paragraph, it elaborates "AlphaGo" as the "first program to defeat a professional Go player".

5.3. Visual Demonstration of Contrastive Search:

To better understand how contrastive search works, we provide a visual comparison between greedy search (Section 4.1) and contrastive search. Specifically, we visualize the token similarity matrix of the generated text from greedy search and contrastive search, respectively. The similarity between two tokens is defined as the cosine similarity between their token representations (i.e. the hidden states of the last transformer layer). The results of greedy search (top) and contrastive search (bottom) are shown in the Figure below.

[Remark] From the result of greedy search, we see high similarity scores in the off-diagonal entries which clearly indicates the generated repetitions by greedy search. On the contrary, in the result of contrastive search, the high similarity scores mostly appear in the diagonal entries which verifies that the degeneration problem is successfully addressed. This nice property of contrastive search is achieved by the introduction of degeneration penalty (see Section 5.1) during the decoding process.


6. More Generated Examples:

In this section, we provide more generated examples to compare different decoding methods.

6.1. Example One - GPT-2:

In this part, we use GPT-2 to generate text with the prefix text from the original OpenAI blog that announced the release of GPT-2.

In a shocking finding, scientist discovered a herd of unicorns living in a remote, previously unexplored valley, in the Andes Mountains. Even more surprising to the researchers was the fact that the unicorns spoke perfect English.

Load the language model and prepare the prefix text:
import torch
from transformers import AutoTokenizer, GPT2LMHeadModel

tokenizer = AutoTokenizer.from_pretrained('gpt2-large')
model = GPT2LMHeadModel.from_pretrained('gpt2-large')

prefix_text = r"In a shocking finding, scientist discovered a herd of unicorns living in a remote, previously unexplored valley, in the Andes Mountains. Even more surprising to the researchers was the fact that the unicorns spoke perfect English."
input_ids = tokenizer(prefix_text, return_tensors='pt').input_ids
6.1.1. Generating Text with Greedy Search:
Code: [click to expand]
output = model.generate(input_ids, max_length=512)
print("Output:\n" + 100 * '-')
print(tokenizer.decode(output[0], skip_special_tokens=True))
print("" + 100 * '-')
Model Output: [click to expand]
Output:
----------------------------------------------------------------------------------------------------
In a shocking finding, scientist discovered a herd of unicorns living in a remote, previously
unexplored valley, in the Andes Mountains. Even more surprising to the researchers was the fact
that the unicorns spoke perfect English.

The researchers, led by Dr. David R. Williams of the University of California, Santa Cruz,
discovered the unicorns in the Andes Mountains of Peru. The area is known for its unique geology
and is home to a number of rare species of animals.

The researchers found the unicorns in the Andes Mountains of Peru.

"We were surprised to find that the unicorns were able to communicate with each other," Williams
said. "We were also surprised to find that they were able to communicate in English."

The researchers believe that the unicorns are descendants of the ancient Incas, who lived in the
area around 2,000 years ago.

"The Incas were the first people to use the Andes Mountains as a refuge from the harsh climate of
the Andes," Williams said. "They were also the first people to use the Andes Mountains as a place
to hunt and gather food."

The researchers believe that the unicorns are descendants of the ancient Incas, who lived in the
area around 2,000 years ago.

"The Incas were the first people to use the Andes Mountains as a refuge from the harsh climate of
the Andes," Williams said. "They were also the first people to use the Andes Mountains as a place
to hunt and gather food."

The researchers believe that the unicorns are descendants of the ancient Incas, who lived in the
area around 2,000 years ago.

"The Incas were the first people to use the Andes Mountains as a refuge from the harsh climate of
the Andes," Williams said. "They were also the first people to use the Andes Mountains as a place
to hunt and gather food."

The researchers believe that the unicorns are descendants of the ancient Incas, who lived in the
area around 2,000 years ago.

"The Incas were the first people to use the Andes Mountains as a refuge from the harsh climate of
the Andes," Williams said. "They were also the first people to use the Andes Mountains as a place
to hunt and gather food."

The researchers believe that the unicorns are descendants of the ancient Incas, who lived in the
area around 2,000 years ago
----------------------------------------------------------------------------------------------------
6.1.2. Generating Text with Nucleus Sampling:
Code: [click to expand]
torch.manual_seed(0.)
output = model.generate(input_ids, do_sample=True, max_length=512, top_p=0.95, top_k=0)
print("Output:\n" + 100 * '-')
print(tokenizer.decode(output[0], skip_special_tokens=True))
print("" + 100 * '-')
Model Output: [click to expand]
Output:
----------------------------------------------------------------------------------------------------
In a shocking finding, scientist discovered a herd of unicorns living in a remote, previously
unexplored valley, in the Andes Mountains. Even more surprising to the researchers was the fact
that the unicorns spoke perfect English. The study was published in the Journal of Zoology in
March 2016.

Polygynous mammals such as unicorns have remained largely unknown to science. Professor Gustavo
Giacota, from the University of Oxford who led the study, said that they had been documented as
far as Eastern Siberia in Russia, but had only been seen a handful of times in the Gobi Desert.

Tiny animals with pale and shiny coats live in the presence of human beings and are hardly likely
to be victims of any cruelty. However, there is some evidence of the condition occurring in both
humans and animals in remote regions, which might have similarities to "black moles" that coexist
on the skin.

It is thought that Unicorns could be inside themselves, that they have different scents depending
on their current environment, or just fall out and there are plenty of legends of how they have
survived. Experts speculate that the moths and other animals could be remnants of the Yezidi Isis
and Charon, which literally is both the word which means great bird, and the Greek word for sound.
It is said that the Isis and Charon taught their young the use of voice in the form of calling out
to others.

The scientists think that it could be ancient folklore that has survived and is no longer attributed
to a real entity
----------------------------------------------------------------------------------------------------
6.1.3. Generating Text with Contrastive Search:
Code:
output = model.generate(input_ids, max_length=512, penalty_alpha=0.6, top_k=4)
print("Output:\n" + 100 * '-')
print(tokenizer.decode(output[0], skip_special_tokens=True))
print("" + 100 * '-')
Model Output:
Output:
----------------------------------------------------------------------------------------------------
In a shocking finding, scientist discovered a herd of unicorns living in a remote, previously unexplored
valley, in the Andes Mountains. Even more surprising to the researchers was the fact that the unicorns
spoke perfect English.

According to the BBC, a team of scientists led by Dr David MacKay, from the University of Bristol, spent
two years searching for the unicorn herd, which they discovered during a survey of the area.

"It's a very rare find," MacKay told the BBC. "There are a few in the Himalayas, but this is the first
time we've been able to find one in such a remote area."

The team was surprised to find a herd of unicorns living in a region that has been known to be a hotbed
of poaching, with many of the animals poached for their horns, which are used in traditional Chinese
medicine to treat everything from rheumatism to cancer.

"We knew that the area was rich in rhino horn, but we had no idea how many there were, or what they were
doing there," MacKay said. "This is an area of high poaching pressure, and we wanted to find out what was
going on."

In order to do so, the team used GPS collars to track the animals as they moved around the mountain and
the surrounding area. The GPS data was then compared with information gathered from local villagers, who
had a wealth of information about the animals' movements, including where they were eating, what they were
doing at night, and how much time they spent in the mountains each day.

After analyzing the data, the team determined that the herd consisted of at least three species of unicorns,
including a male and two females. One of the females was the mother of the male, and the other two were her
daughters. All three had the same horn color, which is believed to be a sign of purity in the animal kingdom.

While the discovery is exciting, it's not the first time scientists have discovered an animal that speaks
English. Last year, scientists discovered a species of porcupine that can be heard by humans, and has been
dubbed "Porcupine Man" for his ability to converse with the human race.
----------------------------------------------------------------------------------------------------

6.2. Example Two - OPT:

In this part, we use the OPT model [5] which is recently released by Meta to generate text by taking the first two sentences from the abstract of the prestigious ResNet paper [6].

Deeper neural networks are more difficult to train. We present a residual learning framework to ease the training of networks that are substantially deeper than those used previously.

Load the language model and prepare the prefix text:
import torch
from transformers import AutoTokenizer, OPTForCausalLM
model_name = r'facebook/opt-1.3b'
tokenizer = AutoTokenizer.from_pretrained(model_name)
model = OPTForCausalLM.from_pretrained(model_name)

prefix_text = r"Deeper neural networks are more difficult to train. We present a residual learning framework to ease the training of networks that are substantially deeper than those used previously."
input_ids = tokenizer(prefix_text, return_tensors='pt').input_ids
6.2.1. Generating Text with Greedy Search:
Code: [click to expand]
output = model.generate(input_ids, max_length=256)
print("Output:\n" + 100 * '-')
print(tokenizer.decode(output[0], skip_special_tokens=True))
print("" + 100 * '-')
Model Output: [click to expand]
Output:
----------------------------------------------------------------------------------------------------
Deeper neural networks are more difficult to train. We present a residual learning framework to ease
the training of networks that are substantially deeper than those used previously. We show that the
residual learning framework can be used to train deep neural networks that are significantly more
difficult to train than those used previously. We also show that the residual learning framework can
be used to train deep neural networks that are significantly more difficult to train than those used
previously.

The paper presents a new residual learning framework for deep neural networks that is based on the
concept of residuals. The residuals are the residuals of the network that are not used in the training
process. The residuals are computed by taking the residuals of the network that are used in the training
process and subtracting the residuals of the network that are not used in the training process. The
residuals are then used to train the network. The residuals are computed by taking the residuals of
the network that are used in the training process and subtracting the residuals of the network that
are not used in the training process. The residuals are then used to train the network. The residuals
are computed by taking the residuals of the network that are used in the training process and
subtracting the residuals of the
----------------------------------------------------------------------------------------------------
6.2.2. Generating Text with Nucleus Sampling:
Code: [click to expand]
torch.manual_seed(0.)
output = model.generate(input_ids, do_sample=True, max_length=256, top_p=0.95, top_k=0)
print("Output:\n" + 100 * '-')
print(tokenizer.decode(output[0], skip_special_tokens=True))
print("" + 100 * '-')
Model Output: [click to expand]
Output:
----------------------------------------------------------------------------------------------------
Deeper neural networks are more difficult to train. We present a residual learning framework to ease the
training of networks that are substantially deeper than those used previously. The theory focuses on
several aspects of learning, including the dynamics of replicative and non-replicative aspects of learning.
This framework emphasizes learning by entropy. New randomized algorithms enable training networks with
residual learning, so that deep networks can be deployed as reliably and as efficiently as their more
conventional counterparts.
----------------------------------------------------------------------------------------------------
6.2.3. Generating Text with Contrastive Search:
Code:
output = model.generate(input_ids, max_length=256, penalty_alpha=0.6, top_k=6)
print("Output:\n" + 100 * '-')
print(tokenizer.decode(output[0], skip_special_tokens=True))
print("" + 100 * '-')
Model Output:
Output:
----------------------------------------------------------------------------------------------------
Deeper neural networks are more difficult to train. We present a residual learning framework to ease
the training of networks that are substantially deeper than those used previously.

In this paper, we propose a model-based residual learning (MBRL) framework that is based on neural
networks trained on data that is sparse in terms of dimensionality (e.g., 1, 2, 3, etc.). The network
parameters are chosen such that there is a high probability of convergence, i.e., the number of
iterations is large enough to minimize the variance of the residuals. This is achieved by training
the network on a set of training data, in which the data is sparse in terms of dimensionality, and
then discarding the nonparametric part of the data after training is complete.

We show that MBRL outperforms other methods for deep reinforcement learning (RL) and deep convolutional
neural networks (CNNs) by a factor of at least 2. In addition, we show that, compared to CNNs, MBRL
performs better in two-dimensional (2D) and three-dimensional (3D) cases.
----------------------------------------------------------------------------------------------------

7. Resources:

For more details of contrastive search, please check our papers and code as


8. Citation:

@inproceedings{su2022a,
   title={A Contrastive Framework for Neural Text Generation},
   author={Yixuan Su and Tian Lan and Yan Wang and Dani Yogatama and Lingpeng Kong and Nigel Collier},
   booktitle={Advances in Neural Information Processing Systems},
   editor={Alice H. Oh and Alekh Agarwal and Danielle Belgrave and Kyunghyun Cho},
   year={2022},
   url={https://openreview.net/forum?id=V88BafmH9Pj}
}

@article{su2022contrastiveiswhatyouneed,
  title={Contrastive Search Is What You Need For Neural Text Generation},
  author={Su, Yixuan and Collier, Nigel},
  journal={arXiv preprint arXiv:2210.14140},
  year={2022}
}

Reference:

[1] Su et al., 2022 "A Contrastive Framework for Neural Text Generation", NeurIPS 2022

[2] Su and Collier, 2022 "Contrastive Search Is What You Need For Neural Text Generation", Arxiv 2022

[3] Fan et al., 2018 "Hierarchical Neural Story Generation", ACL 2018

[4] Holtzman et al., 2020 "The Curious Case of Neural Text Degeneration", ICLR 2020

[5] Zhang et al., 2022 "OPT: Open Pre-trained Transformer Language Models", Arxiv 2022

[6] He et al., 2016 "Deep Residual Learning for Image Recognition", CVPR 2016


- Written by Yixuan Su and Tian Lan


Acknowledgements:

We would like to thank Joao Gante (@joaogante), Patrick von Platen (@patrickvonplaten), and Sylvain Gugger (@sgugger) for their help and guidance in adding contrastive search mentioned in this blog post into the transformers library.

Community

Sign up or log in to comment